http://jcps.bjmu.edu.cn

中国药学(英文版) ›› 2025, Vol. 34 ›› Issue (12): 1092-1100.DOI: 10.5246/jcps.2025.12.082

• 【研究论文】 • 上一篇    下一篇

文冠果油的助眠作用研究

姬宝凤1, 张曦萌1, 张朕僖1,*(), 牟波2,*(), 杜权1,*()   

  1. 1. 北京大学药学院 天然药物及仿生药物全国重点实验室, 北京 100191
    2. 云南大学附属医院临床营养科, 云南 昆明 650021
  • 收稿日期:2025-09-02 修回日期:2025-10-06 接受日期:2025-10-28 出版日期:2025-12-31 发布日期:2025-12-31
  • 通讯作者: 张朕僖, 牟波, 杜权

Sleep-promoting effects of X. sorbifolium oil

Baofeng Ji1, Ximeng Zhang1, Zhenxi Zhang1,*(), Bo Mou2,*(), Quan Du1,*()   

  1. 1 State Key Laboratory of Natural and Biomimetic Drugs, School of Pharmaceutical Sciences, Peking University, Beijing 100191, China
    2 Department of Clinical Nutrition, Affiliated Hospital of Yunnan University, Kunming 650021, Yunnan, China
  • Received:2025-09-02 Revised:2025-10-06 Accepted:2025-10-28 Online:2025-12-31 Published:2025-12-31
  • Contact: Zhenxi Zhang, Bo Mou, Quan Du

摘要:

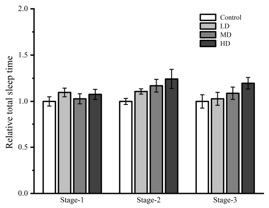
文冠果(X. sorbifolia)是中国北方的一种区域性油料作物, 在历史上有着丰富的药用记载。文冠果油是来源于文冠果种籽的可食用植物油, 其一个显著的特点是含有丰富的神经酸。本研究神经酸在神经系统中的重要作用, 对文冠果油的助眠作用进行研究。利用食品级的“文冠籽油凝胶糖果”, 首先开展了人体试食试验, PSQI和ISI量表分析结果表明: 文冠果油对人类睡眠质量有积极的促进作用。进一步根据“国家市场监督管理总局”颁布的《保健食品功能检验与评价方法(2023年版)》中规定的“有助于改善睡眠检验方法”, 对文冠果油的助眠作用进行了动物研究, 包括“睡眠潜伏期实验”和 “延长睡眠时间实验”, 结果表明给予小鼠不同剂量的文冠果油灌胃,能将睡眠潜伏期缩短33%, 睡眠时间延长46%。更进一步利用视频监控方案, 分析了文冠果油对小鼠自然睡眠的影响, 发现给予文冠果油能提高小鼠的睡眠总时长。研究表明文冠果油具有良好的助眠作用。

关键词: 文冠果种籽油, 具有睡眠促进作用的植物油, 非药物睡眠促进作用

Abstract:

Xanthoceras sorbifolium Bunge (X. sorbifolia), a regionally significant oilseed crop indigenous to northern China, has long been recognized for its medicinal value. A distinguishing feature of X. sorbifolium oil is its high concentration of nervonic acid, a bioactive lipid essential for the development and optimal functioning of the nervous system. In the present study, the potential sleep-enhancing properties of X. sorbifolium oil were investigated. The research began with a human feeding trial, which demonstrated notable improvements in sleep quality. To further validate the findings, animal experiments were conducted in accordance with the standardized protocols outlined in the Methods for Functional Testing and Evaluation of Health Food. Using male ICR mice, hydrated chloral-induced sleep tests were performed to assess the effects of X. sorbifolium oil on sleep latency and duration. Results revealed that oral administration of the oil significantly reduced sleep latency by up to 33% and extended sleep duration by as much as 46% compared to the control group. Beyond the anesthetic-induced tests, a noninvasive video-based analysis was employed to evaluate sleep patterns under natural conditions, free from anesthetic interference. This approach further confirmed a marked increase in total sleep duration. In summary, our findings demonstrated that oral administration of X. sorbifolium oil conferred substantial sleep-promoting benefits, highlighting its potential as a natural therapeutic agent for enhancing sleep quality.

Key words: Seed kernel oil of Xanthoceras sorbifolium Bunge, Natural sleep-promoting oil, Non-drug sleep-promoting intervention

Supporting: