中国药学(英文版) ›› 2026, Vol. 35 ›› Issue (1): 54-70.DOI: 10.5246/jcps.2026.01.004
辛渊蓉1, 张驰1, 戴金通1, 杨凯伦3, 何海冰4,*(
), 刘宏飞1,2,*(
)
收稿日期:2025-09-25
修回日期:2025-10-21
接受日期:2025-11-06
出版日期:2026-01-31
发布日期:2026-01-31
通讯作者:
何海冰, 刘宏飞
Yuanrong Xin1, Chi Zhang1, Jintong Dai1, Kailun Yang3, Haibing He4,*(
), Hongfei Liu1,2,*(
)
Received:2025-09-25
Revised:2025-10-21
Accepted:2025-11-06
Online:2026-01-31
Published:2026-01-31
Contact:
Haibing He, Hongfei Liu
Supported by:摘要:
本研究以头孢妥仑的钠盐头孢妥仑钠作为模型药物, 以考来烯胺阴离子交换树脂作为关键性药物载体, 制备了头孢妥仑钠的药物树脂复合物, 采用扫描电镜、傅里叶变换红外光谱仪、差示扫描量热仪等分析手段对头孢妥仑钠与考来烯胺树脂之间的结合方式进行了表征。采用乳化溶剂挥发法包衣技术制备了具有生物黏附性能和缓释效果明显的包衣树脂微囊, 并对其相关质量指标进行了研究。自制制剂7天时的泄漏量仅为0.07%, 6个月时混悬剂中药物含量为94.59%。体内药代动力学参数显示, 头孢妥仑钠原料药溶液和自制干混悬剂的Tmax分别为2 h和3 h, t1/2 分别为4 h和12.44 h, Cmax分别为4.82和3.99 μg/mL, AUC0-24 h分别为30.281和50.868 μg·h/mL。与头孢妥仑钠原料药溶液相比, 自制的干混悬剂t1/2和Tmax更长, Cmax更低, 生物利用度好。
Supporting:
辛渊蓉, 张驰, 戴金通, 杨凯伦, 何海冰, 刘宏飞. 头孢妥仑生物黏附缓释干混悬剂的制备及体内外评价[J]. 中国药学(英文版), 2026, 35(1): 54-70.
Yuanrong Xin, Chi Zhang, Jintong Dai, Kailun Yang, Haibing He, Hongfei Liu. Preparation and evaluation of cefditoren bioadhesive sustained-release dry suspension in vitro and in vivo studies[J]. Journal of Chinese Pharmaceutical Sciences, 2026, 35(1): 54-70.
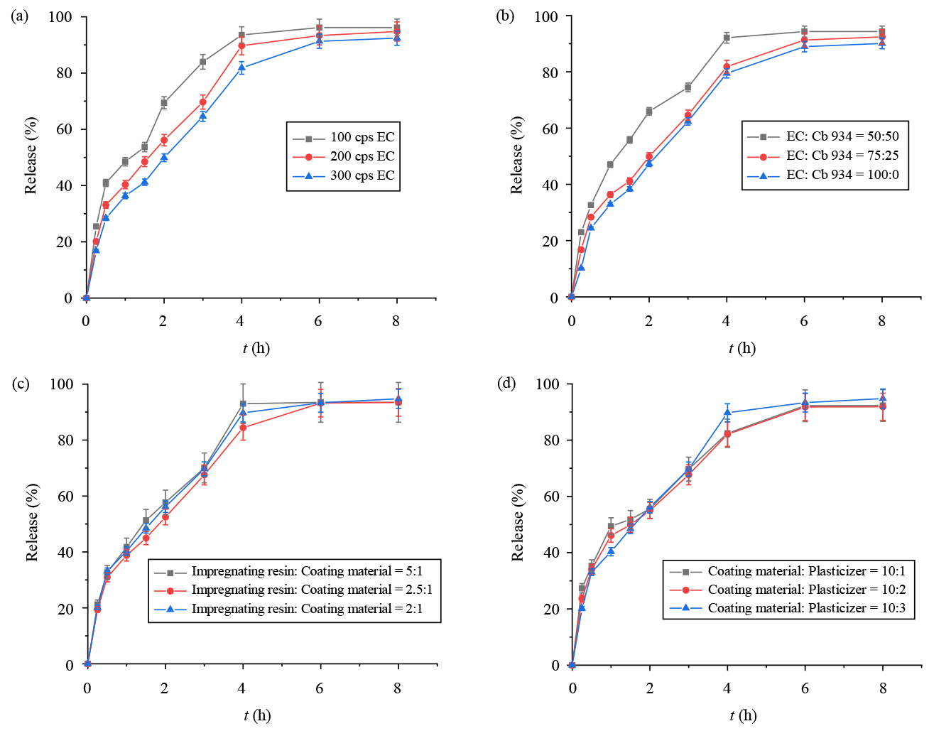
Figure 7. Effects of the type of sustained-release coating material (a), different ratios of coating materials (b), the concentration of coating material (c), and different dosages of plasticizer (d) on the release of CT-Na–CM.
| [1] |
Artola, B.S.; Barberán, J. Cefditoren: a reality for the treatment of community infections. Rev. Esp. Quimioter. 2017, 30, 407–412.
|
| [2] |
Igarashi, Y.; Kojima, N.; Takemura, W.; Liu, X.X.; Morita, T.; Mizukami, Y.; Enoki, Y.; Taguchi, K.; Yokoyama, Y.; Nakamura, T.; Matsumoto, K. In vivo pharmacokinetics/pharmacodynamics profiles for appropriate doses of cefditoren pivoxil against S. pneumoniae in murine lung-infection model. Pharm. Res. 2023, 40, 1789–1797.
|
| [3] |
Soriano, F.; Giménez, M.J.; Aguilar, L. Cefditoren in upper and lower community-acquired respiratory tract infections. Drug Des. Devel. Ther. 2011, 5, 85–94.
|
| [4] |
Lockhart, T.J.; Black, J.; Moland, E.S.; Thomson, K.S. Cefditoren: In vitro activity against respiratory pathogens and β-lactamase stability. Infect. Dis. Clin. Pract. 2004, 12, 223–229.
|
| [5] |
Tauzin, M.; Ouldali, N.; Béchet, S.; Caeymaex, L.; Cohen, R. Pharmacokinetic and pharmacodynamic considerations of cephalosporin use in children. Expert Opin. Drug Metab. Toxicol. 2019, 15, 869–880.
|
| [6] |
Du, Y.Q.; Zhai, Y.L.; Zhang, J.H.; Wu, C.N.; Luo, C.; Sun, J.; He, Z.G. Development and evaluation of taste-masked dry suspension of cefuroxime axetil for enhancement of oral bioavailability. Asian J. Pharm. Sci. 2013, 8, 287–294.
|
| [7] |
Harsha, K.; Sukanya, D. Applications of ion exchange resin in oral drug delivery systems. Int. J. Drug Deliv. Technol. 2017, 7, 127–136
|
| [8] |
Zhang, T.Y.; Du, R.F.; Wang, Y.J.; Hu, J.L.; Wu, F.; Feng, Y. Research progress of preparation technology of ion-exchange resin complexes. AAPS PharmSciTech. 2022, 23, 105.
|
| [9] |
Pinheiro de Souza, F.; Sonego Zimmermann, E.; Tafet Carminato Silva, R.; Novaes Borges, L.; Villa Nova, M.; Miriam de Souza Lima, M.; Diniz, A. Model-Informed drug development of gastroretentive release systems for sildenafil citrate. Eur. J. Pharm. Biopharm. 2023, 182, 81–91.
|
| [10] |
Vashisth, P.; Raghuwanshi, N.; Srivastava, A.K.; Singh, H.; Nagar, H.; Pruthi, V. Ofloxacin loaded gellan/PVA nanofibers - Synthesis, characterization and evaluation of their gastroretentive/mucoadhesive drug delivery potential. Mater. Sci. Eng. C. 2017, 71, 611–619.
|
| [11] |
Badoni, A.; Ojha, A.; Gnanarajan, G.; Kothiyal, P. Review on gastro retentive drug delivery system. J. Pharm. Innov. 2012, 1, 32–42.
|
| [12] |
Anothra, P.; Pradhan, D.; Halder, J.; Ghosh, G.; Rath, G. Gastroretentive drug delivery system in cancer chemotherapy. Curr. Drug Deliv. 2023, 20, 483–496.
|
| [13] |
Klausner, E.A.; Lavy, E.; Friedman, M.; Hoffman, A. Expandable gastroretentive dosage forms. J. Control. Release. 2003, 90, 143–162.
|
| [14] |
Liu, H.F.; Bao, Y.; Lai, X.P.; Feng, Y.S.; Yang, D.; Sun, R.; Firempong, C.K.; He, H.B. Construction and in vitro/in vivo evaluation of menantine hydrochloride oral liquid sustained-release drug delivery system. Drug Dev. Ind. Pharm. 2024, 50, 363–375.
|
| [15] |
Li, C.H.; Han, X.L.; Hong, X.X.; Li, X.F.; Zhang, H.; Wang, Z.M.; Zheng, A.P. Study on the complexation and release mechanism of methylphenidate hydrochloride ion exchange resin complex. Polymers. 2021, 13, 4394.
|
| [16] |
Ghumman, S.A.; Bashir, S.; Noreen, S.; Khan, A.M.; Riffat, S.; Abbas, M. Polymeric microspheres of okra mucilage and alginate for the controlled release of oxcarbazepine: in vitro & in vivo evaluation. Int. J. Biol. Macromol. 2018, 111, 1156–1165.
|
| [17] |
Deng, Y.X.; Wang, T.T.; Li, J.L.; Sun, W.X.; He, H.B.; Gou, J.X.; Wang, Y.J.; Yin, T.; Zhang, Y.; Tang, X. Studies on the in vitro ion exchange kinetics and thermodynamics and in vivo pharmacokinetics of the carbinoxamine-resin complex. Int. J. Pharm. 2020, 588, 119779.
|
| [18] |
Qu, Y.; Lai, W.L.; Xin, Y.R.; Zhu, F.Q.; Zhu, Y.; Wang, L.; Ding, Y.P.; Xu, Y.; Liu, H.F. Development, optimization, and evaluation in vitro/in vivo of oral liquid system for synchronized sustained release of levodopa/benserazide. AAPS PharmSciTech. 2019, 20, 312.
|
| [19] |
Liu, H.F.; Dai, J.T.; He, J.M.; Xu, Y.; Kesse Firempong, C.; Feng, Y.S.; He, H.B. Development and in vitro/in vivo evaluation of famotidine hydrochloride bioadhesive sustained release suspension. Pak. J. Pharm. Sci. 2024, 37, 405–416.
|
| [20] |
Wang, H.; Dong, H.; Kang, C.G.; Lin, C.; Ye, X.; Zhao, Y.L. Preliminary exploration of the development of a collagenous artificial dura mater for sustained antibiotic release. Chin. Med. J. 2013, 126, 3329–3333.
|
| [21] |
Lee, C.A.; Kim, B.S.; Cho, C.W. Quantitative evaluation of mucoadhesive polymers to compare the mucoadhesion. J. Pharm. Investig. 2016, 46, 189–194.
|
| [22] |
Tran, P.H.; Tran, T.T. The use of natural materials in film coating for controlled oral drug release. Curr. Med. Chem. 2021, 28, 1829–1840.
|
| [23] |
Zhou, Y.Q.; Zhu, X.Y.; Lin, S.Y.; Zhu, C.Q.; Wu, L.; Chen, R.; Chen, Z.P.; Li, W.D. A novel nanoparticle preparation to enhance the gastric adhesion and bioavailability of xanthatin. Int. J. Nanomedicine. 2020, 15, 5073–5082.
|
| [24] |
Xia, Y.N.; Li, X.H.; Xu, J.H.; Chen, L.Q.; Ahmed, A.M.Q.; Cao, D.Y.; Du, H.H.; Deng, Y.B.; Cao, Q.R. Optimization and characterization of novel sustained release supermicro-pellet based dry suspensions that load dexibuprofen. J. Drug Deliv. Sci. Technol. 2020, 55, 101420.
|
| [25] |
Pawar, S.; Shende, P. Design and optimization of cyclodextrin-based nanosponges of antimalarials using central composite design for dry suspension. J. Inclusion Phenom. Macrocycl. Chem. 2021, 99, 169–183.
|
| [26] |
Panraksa, P.; Boonsermsukcharoen, K.; Hwang, K.M.; Park, E.S.; Jantrawut, P. Taste masking of nizatidine using ion-exchange resins. Processes. 2019, 7, 779.
|
| [27] |
Guimarães, T.F.; Vital, I.C.F.; de Sousa, E.G.R.; Boniatti, J.; Bandini, T.B.; Carr, O.; Oliveira, O.N. Jr, Shimizu, F.M.; da Fonseca, L.B.; Viçosa, A.L. Investigation of chloroquine resinate feasibility and in vitro taste masking evaluation for pediatric formulations. AAPS PharmSciTech. 2022, 23, 69.
|
| [28] |
Han, M.P.; Du, Y.; Wu, X.W.; Zhang, X.; Yang, Q.Z.; Firempong, C.K.; Liu, H.F.; Li, D.L. Development, optimization, and in vitro/in vivo evaluation of ranitidine hydrochloride resinate sustained release suspension. Trop. J. Pharm. Res. 2023, 22, 457–467.
|
| [29] |
Sharma, M.; Soni, R. Improved therapeutic potential of tapentadol employing cationic exchange resins as carriers in neuropathic pain: evidence from pharmacokinetic and pharmacodynamics study. Sci. Rep. 2018, 8, 2812.
|
| [30] |
Singla, A.K.; Chawla, M.; Singh, A. Potential applications of carbomer in oral mucoadhesive controlled drug delivery system: a review. Drug Dev. Ind. Pharm. 2000, 26, 913–924.
|
| [31] |
Kazlauske, J.; Cafaro, M.M.; Caccavo, D.; Marucci, M.; Lamberti, G.; Barba, A.A.; Larsson, A. Determination of the release mechanism of Theophylline from pellets coated with Surelease®—A water dispersion of ethyl cellulose. Int. J. Pharm. 2017, 528, 345–353.
|
| [32] |
Khatri, P.; Desai, D.; Shelke, N.; Minko, T. Role of plasticizer in membrane coated extended release oral drug delivery system. J. Drug Deliv. Sci. Technol. 2018, 44, 231–243.
|
| [33] |
Qiao, M.X.; Zhang, L.Q.; Ma, Y.L.; Zhu, J.; Xiao, W. A novel electrostatic dry coating process for enteric coating of tablets with Eudragit® L100-55. Eur. J. Pharm. Biopharm. 2013, 83, 293–300.
|
| [34] |
Ibrahim, M.; Sarhan, H.A.; Naguib, Y.W.; Abdelkader, H. Design, characterization and in vivo evaluation of modified release baclofen floating coated beads. Int. J. Pharm. 2020, 582, 119344.
|
| [35] |
Lalge, R.; Thipsay, P.; Shankar, V.K.; Maurya, A.; Pimparade, M.; Bandari, S.; Zhang, F.; Murthy, S.N.; Repka, M.A. Preparation and evaluation of cefuroxime axetil gastro-retentive floating drug delivery system via hot melt extrusion technology. Int. J. Pharm. 2019, 566, 520–531.
|
| [36] |
Sharma, S.; Nanda, A.; Singh, L. Formulation and optimization of gastric bioadhesive tablets of diltiazem hydrochloride using central composite design. Trop. J. Pharm. Res. 2014, 12, 861.
|
| [1] | 辛渊蓉, 窦玉甜, 陈晓琳, 冯颖淑, 刘学盛, Caleb Kesse Firempong, 杨丹, 刘宏飞, 何海冰. 口服磷酸奥司他韦缓释混悬液的制备及其体内外评价[J]. 中国药学(英文版), 2025, 34(3): 269-283. |
| [2] | 殷站暖, 孟祥欢, 冯颖淑, 李可, 唐欣怡, 刘宏飞, 何海冰, 米伟. 一种新型药用辅料阴离子交换树脂的合成[J]. 中国药学(英文版), 2025, 34(2): 109-125. |
| [3] | 何泽, 冯颖淑, Caleb Kesse Firempong, 芦静茹, 刘宏飞, 于小凤. 盐酸胍法辛缓释给药系统的构建及体内外评价[J]. 中国药学(英文版), 2025, 34(12): 1063-1080. |
| [4] | 崔保松, 马晓庆, 杨东辉*, 胡学桥, 蔡少青. 红果樫木树皮中罗希吐碱的纯化方法 [J]. , 2008, 17(2): 153-157. |
| [5] | 吴静, 杨丽, 刘宏飞, 王超, 曹国良, 潘卫三*. 阴离子交换树脂与双氯芬酸钠的交换反应特性[J]. , 2006, 15(4): 228-232. |
| [6] | 刘宏飞, 苏显英, 李想, 赵欣, 臧蕾, 潘卫三*. 盐酸二甲双胍缓释微囊的制备[J]. , 2006, 15(3): 155-161. |
| 阅读次数 | ||||||
|
全文 |
|
|||||
|
摘要 |
|
|||||