http://jcps.bjmu.edu.cn

中国药学(英文版) ›› 2025, Vol. 34 ›› Issue (12): 1101-1113.DOI: 10.5246/jcps.2025.12.083

• 【研究论文】 • 上一篇    

患有COVID-19的实体器官移植患者应用免疫抑制剂的策略及浓度监测推荐: 一篇多中心回顾性研究

杨辉1,8,#, 张颖7,#, 马葵芬2,8,#, 刘相端4,8,#, 陈娇娇5,#, 王颖4, 朱莹1, 钱卿6,8,*(), 侯文婧3,8,*(), 安卓玲1,*()   

  1. 1. 首都医科大学附属北京朝阳医院 药事部, 北京 100020
    2. 浙江大学附属第一医院 药事部, 浙江 杭州 311500
    3. 首都医科大学附属北京友谊医院 药事部, 北京 100050
    4. 河南中医药大学第五临床医学院(郑州人民医院) 药事部, 河南 郑州 450000
    5. 烟台市毓璜顶医院 药事部, 山东 烟台 264001
    6. 常州第一人民医院 药事部, 江苏 常州 213003
    7. 陕西省人民医院 药事部, 陕西 西安 710068
    8. 全国移植药师联盟, 浙江 杭州 311500
  • 收稿日期:2025-08-07 修回日期:2025-08-14 接受日期:2025-09-27 出版日期:2025-12-31 发布日期:2025-12-31
  • 通讯作者: 钱卿, 侯文婧, 安卓玲

Optimizing immunosuppressant regimens and therapeutic drug monitoring in solid organ transplant recipients with COVID-19: A multicenter retrospective study

Hui Yang1,8,#, Ying Zhang7,#, Kuifen Ma2,8,#, Xiangduan Liu4,8,#, Jiaojiao Chen5,#, Ying Wang4, Ying Zhu1, Qing Qian6,8,*(), Wenjing Hou3,8,*(), Zhuoling An1,*()   

  1. 1 Department of Pharmacy, Beijing Chao-Yang Hospital, Capital Medical University, Beijing 100020, China
    2 Department of Clinical Pharmacy, the First Affiliated Hospital, Zhejiang University School of Medicine, Hangzhou 311500, Zhejiang, China
    3 Department of Pharmacy, Beijing Friendship Hospital, Capital Medical University, Beijing 100050, China
    4 Department of Pharmacy, Fifth Clinical College of Henan University of Traditional Chinese Medicine (Zhengzhou People’s Hospital), Zhengzhou 450000, Henan, China
    5 Yantai Yuhuangding Hospital, Yantai 264001, Shandong, China
    6 The First People’s Hospital of Changzhou, Changzhou 213003, Jiangsu, China
    7 Department of Pharmacy, Shaanxi Provincial People’s Hospital, Xi’an 710068, Shaanxi, China
    8 National Alliance of Transplant Pharmacists, Hangzhou 311500, Zhejiang, China
  • Received:2025-08-07 Revised:2025-08-14 Accepted:2025-09-27 Online:2025-12-31 Published:2025-12-31
  • Contact: Qing Qian, Wenjing Hou, Zhuoling An
  • About author:

    # They contributed equally to this manuscript.

摘要:

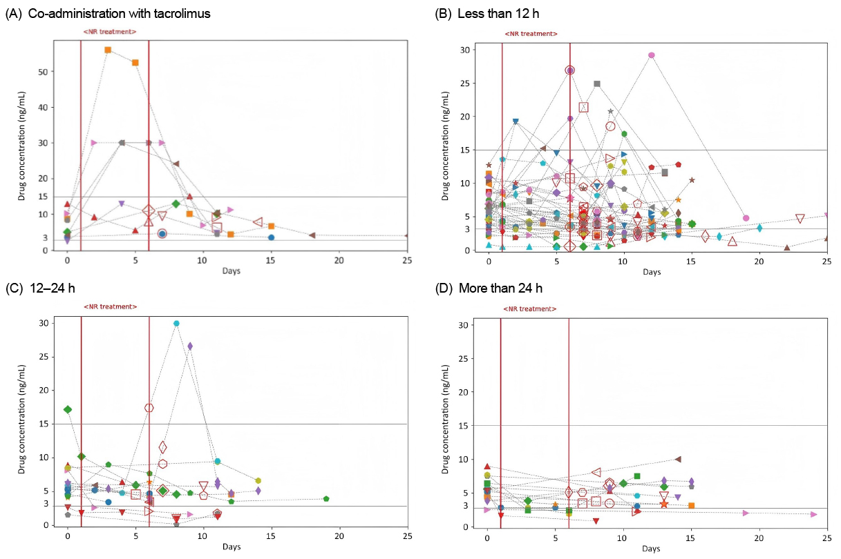
奈玛特韦-利托那韦在感染新型冠状病毒的实体器官移植患者中具有良好的疗效, 而免疫抑制剂与奈玛特韦-利托那韦存在相互作用。本研究旨在为临床应用奈玛特韦-利托那韦时免疫抑制药物的调整策略提供临床建议。我们纳入了2022年12月至2023年6月期间在五家医院接受长期免疫抑制治疗以及短期奈玛特韦-利托那韦治疗的实体器官移植受者。连续数据以四分位数范围值的中位数表示, 而分类数据则表示为具有相应百分比的计数, 所有分析均采用Python 3.12完成, 共纳入103例受者。其中, 86例使用他克莫司的患者中, 停药后24小时内开始奈玛特-利托那韦时浓度最为稳定。联合用药导致显著浓度升高, 62.5%的患者浓度增加超过50%。停药超过24小时的患者中, 26.67%的患者浓度下降超过50%。在停药后3−4天内以初始剂量的30%−60%逐渐恢复用药, 可达到稳定的他克莫司浓度。建议所有策略均需定期进行血药浓度监测。11例环孢素患者中, 1例将剂量减少至低于20%, 浓度增加超过50%;其余选择停药, 其中超过50%患者浓度下降。在第2−5天恢复用药(减少或维持原剂量)显示出稳定的浓度。9例西罗莫司患者未出现极端浓度波动。建议在奈玛特韦-利托那韦治疗前24小时停用他克莫司, 并在治疗后3−4天内以初始剂量的30%−60%恢复用药, 同时进行定期血药浓度监测。对于环孢素和西罗莫司, 在药物治疗前及时停用, 并在奈玛特韦-利托那韦停药后根据血药浓度恢复免疫抑制治疗也是安全的。

关键词: 奈玛特韦-利托那韦, 实体器官移植患者, 新型冠状病毒肺炎, 免疫抑制剂

Abstract:

Nirmatrelvir-ritonavir, while effective against COVID-19 in solid organ transplant recipients, poses significant interactions with immunosuppressive agents. This study aimed to establish clinical recommendations for immunosuppressive drug adjustment strategies during nirmatrelvir-ritonavir therapy. We enrolled solid organ transplant recipients receiving long-term immunosuppressive therapy who underwent short-term nirmatrelvir-ritonavir treatment for SARS-CoV-2 infection across five hospitals between December 2022 and June 2023. Continuous variables were reported as medians with interquartile ranges, and categorical variables as counts with percentages. All analyses were conducted using Python 3.12. A total of 103 recipients were included. Among 86 patients on tacrolimus, drug concentrations remained most stable when tacrolimus was discontinued within 24 h prior to nirmatrelvir-ritonavir initiation. Co-administration led to marked increases in tacrolimus levels, with 62.5% of patients experiencing > 50% elevations. Delaying discontinuation beyond 24 h increased the proportion of patients with > 50% declines in concentration (26.67%). Gradual reintroduction at 30%–60% of the original dose within 3–4 d post-therapy consistently stabilized tacrolimus levels, emphasizing the need for close blood concentration monitoring. In 11 cyclosporine-treated patients, one who reduced the dose to < 20% experienced a > 50% increase in concentration, while others who discontinued cyclosporine saw > 50% decreases. Resumption of cyclosporine at reduced or original doses between days 2 and 5 generally restored stable concentrations. For nine patients receiving sirolimus, no extreme fluctuations in drug levels were observed. Based on these findings, we recommend discontinuing tacrolimus 24 h before initiating nirmatrelvir-ritonavir, followed by reintroduction at 30%–60% of the baseline dose within 3–4 d, alongside routine blood level monitoring. For patients on cyclosporine or sirolimus, temporary discontinuation prior to antiviral therapy and dose adjustments guided by post-therapy drug levels appear to be safe and effective strategies.

Key words: Nirmatrelvir/Ritonavir, Solid organ transplant recipients, COVID-19, Immunosuppressive drugs

Supporting: